文章原文
一
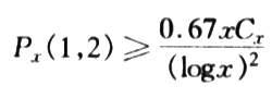
命Px(1,2)為適合下列條件的素數p的個數:
x-p=p1或 x-p=p2p3
其中p1,p2,p3都是素數。
[這是不好懂的;讀不懂時可以跳過這幾行。]
用X表一充分大的偶數。
哥德巴赫猜想[徐遲的報告文學作品] |
p≤x,p+h=p1或 h+p=p2p3
對於任意給定的偶數h及充分大的X,用Xh(1,2)表示滿足下麵條件的素數p的個數:
其中p1,p2,p3都是素數。
本文的目的在於證明並改進作者在文獻[ 10] 內所提及的全部結果,現在詳述如下。
二
以上引自一篇解析數論的論文。這一段引自它的“(一)引言”,提出了這道題。它後面是“(二)幾個引理”,充滿了各種公式和計算。最後是“(三)結果”,證明了一條定理。這篇論文,極不好懂。即使是著名數學家,如果不是專門研究這一個數學的分枝的,也不一定能讀懂。但是這篇論文已經得到了國際數學界的公認,譽滿天下。它所證明的那條定理,現在世界各國一致地把它命名為“陳氏定理”,因為它的作者姓陳,名景潤。他現在是中國科學院數學研究所的研究員。
陳景潤是福建人,生於一九三三年。當他降生到這個現實人間時,他的家庭和社會生活並沒有對他呈現出玫瑰花朵一般的艷麗色彩。他父親是郵政局職員,老是跑來跑去的。當年如果參加了國民黨,就可以飛黃騰達,但是他父親不肯參加。有的同事說他真是不識時務。他母親是一個善良的操勞過甚的婦女,一共生了十二個孩子。只活了六個、其中陳景潤排行老三。上有哥哥和姐姐;下有弟弟和妹妹。孩子生得多了,就不是雙親所疼愛的兒女了。他們越來越成為父母的累贅——多餘的孩子,多餘的人。從生下的那一天起,他就像一個被宣布為不受歡迎的人似的,來到了這人世間。
他甚至沒有享受過多少童年的快樂。母親勞苦終日,顧不上愛他。當他記事的時候,酷烈的戰爭爆發。日本鬼子打進福建省。他還這么小,就提心弔膽過生活。父親到三元縣的三明市一個郵政分局當局長。小小郵局,設在山區一座古寺廟裡。這地方曾經是一個革命根據地。但那時候,茂郁山林已成為悲慘世界。所有男子漢都被國民黨匪軍瘋狂屠殺,無一倖存者。連老年的男人也一個都不剩了。剩下的只有婦女。她們的生活特別淒涼。花紗布價錢又太貴了;穿不起衣服,大姑娘都還裸著上體。福州被敵人占領後,逃難進山來的人多起來。這裡飛機不來轟炸,山區漸漸有點兒興旺。卻又遷來了一個集中營。深夜裡,常有鞭聲慘痛地迴蕩;不時還有殺害烈士的槍聲。第二天,那些戴著鐐銬出來勞動的人,神色就更陰森了。
陳景潤的幼小心靈受到了極大的創傷。他時常被驚慌和迷惘所征服。在家裡並沒有得到樂趣,在國小里他總是受人欺侮。他覺得自己是一隻醜小鴨。不,是人,他還是覺得自己也是一個人。只是他瘦削、弱小。光是這付窩囊樣子就不能討人喜歡。習慣於挨打,從來不討饒。這更使對方狠狠揍他,而他則更堅韌而有耐力了。他過分敏感,過早地感覺到了舊社會那些人吃人的現象。他被造成了一個內向的人,內向的性格。他獨獨愛上了數學。不是因為被壓,他只是因為愛好數學,演算數學習題占去了他大部分的時間。
當他升入國中的時候,江蘇學院從遠方的淪陷區搬遷到這個山區來了。那學院裡的教授和講師也到本地國中里來兼點課,多少也能給他們流亡在異地的生活改善一些。這些老師很有學問。有個語文老師水平最高。大家都崇拜他。但陳景潤不喜歡語文。他喜歡兩個外地的數理老師。外地老師倒也喜歡他。這些老師經常吹什麼科學救國一類的話。他不相信科學能救國。但是救國卻不可以沒有科學,尤其不可以沒有數學。而且數學是什麼事兒也少不了它的。人們對他歧視,拳打腳踢,只能使他更加更加愛上數學。枯燥無味的代數方程式卻使他充滿了幸福,成為唯一的樂趣。
十三歲那年,他母親去世了。是死於肺結核的;從此,兒想親娘在夢中,而父親又結了婚,後娘對他就更不如親娘了。抗戰勝利了,他們回到福州。陳景潤進了三一中學。畢業後又到英華書院去念高中。那裡有個數學老師,曾經是國立清華大學的航空系主任。
三
老師知識淵博,又誨人不倦。他在數學課上,給同學們講了許多有趣的數學知識。不愛數學的同學都能被他吸引住,愛數學的同學就更不用說了。
數學分兩大部分:純數學和套用數學。純數學處理數的關係與空間形式。在處理數的關係這部分里,論討整數性質的一個重要分枝,名叫“數論”。十七世紀法國大數學家費馬是西方數論的創始人。但是中國古代老早已對數論作出了特殊貢獻。《周髀》是最古老的古典數學著作。較早的還有一部《孫子算經》。其中有一條餘數定理是中國首創。後來被傳到了西方,名為孫子定理,是數論中的一條著名定理。直到明代以前,中國在數論方面是對人類有過較大的貢獻的。五世紀的祖沖之算出來的圓周率,比德國人的奧托的,早出一千年多。約瑟夫(指史達林)領導的科學家把月球的一個山谷命名為“祖沖之”。十三世紀下半紀更是中國古代數學的高潮了。南宋大數學家秦九韶著有《數書九章》。他的聯立一次方程式的解法比義大利大數學家歐拉的解法早出了五百多年。元代大數學家朱世傑,著有《四元玉鑒》。他的多元高次方程的解法,比法國大數學家畢朱,也早出了四百多年。明清以後,中國落後了。然而中國人對於數學好像是特具稟賦的。中國應當出大數學家。中國是數學的好溫床。
有一次,老師給這些高中生講了數論之中一道著名的難題。他說,當初,俄羅斯的彼得大帝建設彼得堡,聘請了一大批歐洲的大科學家。其中,有瑞士大數學家歐拉(他的著作共有八百餘種);還有德國的一位中學教師,名叫哥德巴赫,也是數學家。
一七四二年,哥德巴赫發現,每一個大偶數都可以寫成兩個素數的和。他對許多偶數進行了檢驗,都說明這是確實的。但是這需要給予證明。因為尚未經過證明,只能稱之為猜想。他自己卻不能夠證明它,就寫信請教那赫赫有名的大數學家歐拉,請他來幫忙作出證明。一直到死,歐拉也不能證明它。從此這成了一道難題,吸引了成千上萬數學家的注意。兩百多年來,多少數學家企圖給這個猜想作出證明,都沒有成功。
說到這裡,教室里成了開了鍋的水。那些像初放的花朵一樣的青年學生嘰嘰喳喳地議論起來了。
老師又說,自然科學的皇后是數學。數學的皇冠是數論。哥德巴赫猜想,則是皇冠上的明珠。
同學們都驚訝地瞪大了眼睛。
老師說,你們都知道偶數和奇數。也都知道素數和合數。我們國小三年級就教這些了。這不是最容易的嗎?不,這道難題是最難的呢。這道題很難很難。要有誰能夠做了出來,不得了,那可不得了呵!
青年人又吵起來了。這有什麼不得了。我們來做。我們做得出來。他們夸下了海口。
老師也笑了。他說,“真的,昨天晚上我還作了一個夢呢。我夢見你們中間的有一位同學,他不得了,他證明了哥德巴赫猜想。”
高中生們轟的一聲大笑了。
但是陳景潤沒有笑。他也被老師的話震動了,但是他不能笑。如果他笑了,還會有同學用白眼瞪他的。自從升入高中以後,他越發孤獨了。同學們嫌他古怪,嫌他髒,嫌他多病的樣子,都不理睬他。他們用蔑視的和譏諷的眼神瞅著他。他成了一個踽踽獨行,形單影隻,自言自語,孤苦伶仃的畸零人。長空里,一隻孤雁。
第二天,又上課了。幾個相當用功的學生興沖沖地給老師送上了幾個答題的卷子。他們說,他們已經做出來了,能夠證明那個德國人的猜想了。可以多方面地證明它呢。沒有什麼了不起的。哈!哈!
“你們算了!”老師笑著說,“算了!算了!”
“我們算了,算了。我們算出來了!”
“你們算啦!好啦好啦,我是說,你們算了吧,白費這個力氣做什麼?你們這些卷子我是看也不會看的,用不著看的。那么容易嗎?你們是想騎著腳踏車到月球上去。”
教室里又爆發出一陣哄堂大笑。那些沒有交卷的同學都笑話那幾個交了卷的。他們自己也笑了起來,都笑得跺腳,笑破肚子了。唯獨陳景潤沒有笑。他緊結著眉頭。他被排除在這一切歡樂之外。
第二年,老師又回清華去了。他現在是北京航空學院副院長,全國航空學會理事長沈元。他早該忘記這兩堂數學課了。他怎能知道他被多么深刻地銘刻在學生陳景潤的記憶中。老師因為同學多,容易忘記,學生卻常常記著自己青年時代的老師。
四
福州解放!那年他高中三年級。因為交不起學費,一九五○年上半年,他沒有上學,在家自學了一個學期。高中沒有畢業,但以同等學歷報考,他考進了廈門大學。那年,大學裡只有數學物理系。讀大學二年級時,才有了一個數學組,但只四個學生。到三年級時,有數學系了,系裡還是這四個人。因為成績特別優異,國家又急需培養人才,四個人提前畢了業;而且,立即分配了工作,得到的優待,羨慕煞人。一九五三年秋季,陳景潤被分配到了北京!在第X中學當數學老師。這該是多么的幸福了呵!
然而,不然!在廈門大學的時候,他的日子是好過的。同組同系就只四個大學生,倒有四個教授和一個助教指導學習。他是多么饑渴而且貪饞地吸飲於百花叢中,以釀製芬芳馥郁的數學蜜糖呵!學習的成效非常之高。他在抽象的領域裡馳騁得多么自由自在!大家有共同的dx和dy等等之類的數學語言。心心相印,息息相通。三年中間,沒有人歧視他,也不受罵挨打了。他很少和人來往,過的是黃金歲月;全身心沉浸在數學的海洋裡面。真想不到,那么快,他就畢業了。一想到他將要當老師,在講台上站立,被幾十對銳利而機靈,有時難免要惡作劇的眼睛盯視,他禁不住嚇得打顫!
他的猜想立刻就得到了證明。他是完全不適合於當老師的。他那么瘦小和病弱,他的學生卻都是高大而且健壯的。他最不善於說話,說多幾句就嗓子發痛了。他多么羨慕那些循循善誘的好老師。下了課回到房間裡,他叫自己笨蛋。辱罵自己比別人的還厲害得多。他一向不會照顧自己,又不注意營養。積憂成疾,發燒到攝氏三十八度。送進醫院一檢查,他患有肺結核和腹膜結核症。
這一年內,他住醫院六次,做了三次手術。當然他沒有能夠好好的教書。但他並沒有放棄了他的專業。中國科學院不久前出版了華羅庚的名著《堆壘素數論》。剛擺上書店的書架,陳景潤就買到了。他一頭扎進去了。非常深刻的著作,非常之艱難!可是他鑽研了它。住進醫院,他還偷偷地避開了醫生和護士的耳目,研究它。他那時也認為,這樣下去,學校沒有理由歡迎他。
他想他也許會失業?又有什麼辦法呢?好在他節衣縮食,一隻牙刷也不買。他從來不隨便花一分錢,他積蓄了幾乎他的全部收入。他橫下心來,失業就回家,還繼續搞他的數學研究。積蓄這幾個錢是他搞數學的保證。這保證他失了業也還能研究數學的幾個錢,就是他的生命:他的生命就是數學。至於積蓄一旦用光了,以後呢?他不知道,那時又該怎么辦?這也是難題;也是尚未得到解答的猜想。而這個猜想後來也證明是猜對了的。他的病好不了,中學裡後來無法續聘他了。
廈門大學校長來到了北京,在教育部開會。那中學的一位領導遇見了他,談起來,很不滿意,提出了一大堆的意見:你們怎么培養了這樣的高材生?
王亞南,廈門大學校長,就是馬克思的《資本論》的翻譯者,聽到意見之後,非常吃驚。他一直認為陳景潤是他們學校里最好的學生。他不同意他所聽到的意見。他認為這是分配學生的工作時,分配不得當。他同意讓陳景潤回到廈門大學。
聽說他可以回廈門大學數學系了,說也奇怪,陳景潤的病也就好轉了。而王亞南卻安排他在廈大圖書館當管理員。又不讓管理圖書,只讓他專心致意的研究數學。王亞南不愧為政治經濟學的批判家,他懂得價值論,懂得人的價值。陳景潤也沒有辜負了老校長的培養。他果然精深地鑽研了華羅庚的《堆壘素數論》和大厚本兒的《數論導引》。陳景潤都把它們吃透了。他的這種經歷卻也並不是沒有先例的。
當初,我國老一輩的大數學家、大教育家熊慶來,我國現代數學的引進者,在北京的清華大學執教。三十年代之初,有一個在國中畢業以後就失了學,失了學就完全自學的青年人,寄出了一篇代數方程解法的文章,給了熊慶來。熊慶來一看,就看出了這篇文章中的英姿勃發和奇光異采。他立刻把它的作者,姓華名羅庚的,請進了清華園來。他安排華羅庚在清華數學系當文書,可以一面自學,一面大量地聽課。爾後,派遣華羅庚出國,留學英國劍橋。學成回國,已擔任在昆明的雲南大學校長的熊慶來又介紹他當聯大教授。華羅庚後來再次出國,在美國普林斯頓和依利諾的大學教書。中華人民共和國成立以後,華羅庚馬上回國來了,他主持了中國科學院數學研究所的工作。
陳景潤在廈門大學圖書館中也很快寫出了數論方面的專題文章,文章寄給了中國科學院數學研究所。華羅庚一看文章,就看出了文章中的英姿勃發和奇光異采,也提出了建議,把陳景潤選調到數學研究所來當實習研究員。正是:熊慶來慧眼認羅庚,華羅庚睿目識景潤。
一九五六年年底,陳景潤再次從南方海濱來到了首都北京。
一九五七年夏天,數學大師熊慶來也從國外重返祖國首都。
這時少長鹹集,群賢畢至。當時著名的數學家有熊慶來、華羅庚、張宗燧、閔嗣鶴、吳文俊等等許多明星燦燦;還有新起的一代俊彥,陸啟鏗、萬哲先、王元、越民義、吳方等等,如朝霞爛熳;還有後起之秀,陸汝鈐、楊樂、張廣厚等等已入北京大學求學。在解析數論、代數數論、涵數論、泛涵分析、幾何拓撲學等等的學科之中,已是人才濟濟,又加上了一個陳景潤。人人握靈蛇之珠,家家抱荊山之玉。風靡雲蒸,陣容齊整。條件具備了,華羅庚作出了部署。側重於套用數學,但也要向那皇冠上的明珠,哥德巴赫猜想挺進 !
五
要懂得哥德巴赫猜想是怎么一回事?只需把早先在國小三年級里就學到過的數學再來溫習一下。那些1 2 3 4 5,個十百千萬的數字,叫做正整數。那些可以被2整除的數,叫做偶數。剩下的那些數,叫做奇數。還有一種數,如2,3,5,7,11,13等等,只能被1和它本數,而不能被別的整數整除的,叫做素數。除了1和它本數以外,還能被別的整數整除的,這種數如4,6,8,9,10,12等等就叫做合數。一個整數,如能被一個素數所整除,這個素數就叫做這個整數的素因子。如6,就有2和3兩個素因子。如30,就有2,3和5三個素因子。好了,這暫時也就夠用了。
一七四二年,哥德巴赫寫信給歐拉時,提出了:每個不小於6的偶數都是二個素數之和。例如,6=3+3。又如,24=11+13等等。有人對一個一個的偶數都進行了這樣的驗算,一直驗算到了三億三千萬之數,都表明這是對的。但是更大的數目,更大更大的數目呢?猜想起來也該是對的。猜想應當證明。要證明它卻很難很難。
整個十八世紀沒有人能證明它。
整個十九世紀也沒有能證明它。
到了二十世紀的二十年代,問題才開始有了點兒進展。
很早以前,人們就想證明,每一個大偶數是二個“素因子不太多的”數之和。他們想這樣子來設定包圍圈,想由此來逐步、逐步證明哥德巴赫這個命題一個素數加一個素數(1+1)是正確的。
一九二○年,挪威數學家布朗,用一種古老的篩法(這是研究數論的一種方法)證明了:每一個大偶數是二個“素因子都不超九個的”數之和。布朗證明了:九個素因子之積加九個素因子之積,(9+9),是正確的。這是用了篩法取得的成果。但這樣的包圍圈還很大,要逐步縮小之。果然,包圍圈逐步地縮小了。
一九二四年,數學家拉德馬哈爾證明了(7+7);一九三二年,數學家愛斯斯爾曼證明了(6+6);一九三八年,數學家布赫斯塔勃證明了(5+5);一九四○年,他又證明了(4+4)。一九五六年,數學家維諾格拉多夫證明了(3+3)。一九五八年,我國數學家王元又證明了(2+3)。包圍圈越來越小,越接近於(1+1)了。但是,以上所有證明都有一個弱點,就是其中的二個數沒有一個是可以肯定為素數的。
早在一九四八年,匈牙利數學家蘭恩易另外設定了一個包圍圈。開闢了另一戰場,想來證明:每個大偶數都是一個素數和一個“素因子都不超過六個的”數之和。他果然證明了(1+6)。
但是,以後又是十年沒有進展。
一九六二年,我國數學家、山東大學講師潘承洞證明了(1+5),前進了一步;同年,王元、潘承洞又證明了(1+4)。一九六五年,布赫斯塔勃、維諾格拉多夫和數學家龐皮艾黎都證明了(1+3)。
一九六六年五月,一顆璀璨的訊號彈升上了數學的天空,陳景潤在中國科學院的刊物《科學通報》第十七期上宣布他已經證明了(1+2)。
自從陳景潤被選調到數學研究所以來,他的才智的蓓蕾一朵朵地爛熳開放了。在圓內整點問題,球內整點問題,華林問題,三維除數問題等等之上,他都改進了中外數學家的結果。單是這一些成果,他那貢獻就已經很大了。
但當他已具備了充分依據,他就以驚人的頑強毅力,來向哥德巴赫猜想挺進了。他廢寢忘食,晝夜不捨,潛心思考,探測精蘊,進行了大量的運算。一心一意地搞數學,搞得他發獃了。有一次,自己撞在樹上,還問是誰撞了他?他把全部心智和理性統通奉獻給這道難題的解題上了,他為此而付出了很高的代價。他的兩眼深深凹陷了。他的面頰帶上了肺結核的紅暈。喉頭炎嚴重,他咳嗽不停。腹脹、腹痛,難以忍受。有時已人事不知了,卻還記掛著數字和符號。他跋涉在數學的崎嶇山路,吃力地邁動步伐。在抽象思維的高原,他向陡峭的巉岩升登,降下又升登!善意的誤會飛入了他的眼帘。無知的嘲諷鑽進了他的耳道。他不屑一顧;他未予理睬。他沒有時間來分辯;他寧可含垢忍辱。餐霜飲雪,走上去一步就是一步!他氣喘不已;汗如雨下。時常感到他支持不下去了。但他還是攀登。用四肢,用指爪。真是艱苦卓絕!多少次上去了摔下來。就是鐵鞋,也早該踏破了。人們嘲笑他穿的鞋是破了的:硬是通風透氣不會得腳氣病的一雙鞋子。不知多少次發生了可怕的滑墜!幾乎粉身碎骨。他無法統計他失敗了多少次。他毫不氣餒。他總結失敗的教訓,把失敗接起來,焊上去,作登山用的尼龍繩子和金屬梯子。吃一塹,長一智。失敗一次,前進一步。失敗是成功之母;功由失敗堆壘而成。他越過了雪線,到達雪峰和現代冰川,更感缺氧的嚴重了。多少次堅冰封山,多少次雪崩掩埋!他就像那些征服珠穆朗瑪峰的英雄登山運動員,爬呵,爬呵,爬呵!而惡毒的誹謗,惡意的污衊像變天的烏雲和九級狂風。然而熱情的支持為他撥開雲霧;愛護的陽光又溫暖了他。他向著目標,不屈不撓;繼續前進,繼續攀登。戰勝了第一台階的難以登上的峻峭;出現在難上加難的第二台階絕壁之前。他只知攀登,在千仞深淵之上;他只管攀登,在無限風光之間。一張又一張的運算稿紙,像漫天大雪似的飛舞,鋪滿了大地。數字、符號、引理、公式、邏輯、推理,積在樓板上,有三尺深。忽然化為膝下群山,雪蓮萬千。他終於登上了攀登頂峰的必由之路,登上了(1+2)的台階。
他證明了這個命題,寫出了厚達二百多頁的長篇論文。
閔嗣鶴老師給他細心地閱讀了論文原稿。檢查了又檢查,核對了又核對。肯定了,他的證明是正確的,靠得住的。他給陳景潤說,去年人家證明(1+3)是用了大型的,高速的電子計算機。而你證明(1+2)卻完全靠你自己運算。難怪論文寫得長了。太長了,建議他加以簡化。
本文第一段最後一句說到的“文獻[10]”就是這時他以簡報形式,在《科學通報》上宣布的,但只提到了結果,尚未公布他的證明。他當時正修改他的長篇論文。就是在這個當口,突然陳景潤被捲入了政治革命的萬丈波瀾。
六
“文化大革命”開始了。中國發生了一場內戰,到處是有組織的激動,有領導的對戰,有秩序的混亂,只見一個一個的場景,閃來閃去,風馳電掣,驚天動地。一台一台的戲劇,排演出來,喜怒哀樂,淋漓盡致;悲歡離合,動人心扉。一個一個的人物,登上場了。有的折戟沉沙,死有餘辜;四大家族,紅樓一夢;有的曇花一現,萎謝得好快呵。乃有青松翠柏,雖死猶生,重於泰山,浩氣長存!有的是國傑豪英,人傑地靈;干將莫邪,斤錘百鍊;拂鐘無聲,削鐵如泥。一頁一頁的歷史寫出來了,大是大非,終於有了無私的公論。肯定——否定——否定之否定。化妝不經久要剝落;被誣的終究要昭雪。種子播下去,就有收穫的一天。播什麼,收什麼。天文地理要審查;物理化學要審查。生物要審查;數學也要審查。陳景潤在“無產階級文化大革命”中受到了最嚴峻的考驗。老一輩的數學家受到了衝擊,連中年和年輕的也跑不了。莊嚴的科學院被騷擾了;熱騰騰的實驗室冷清清了。日夜的辯論;劇烈的爭吵。行動勝於語言;拳頭代替舌頭。“無產階級文化大革命”像一個篩子。什麼都要在這篩子上過濾一下。它用的也是篩法。該篩掉的最後都要篩掉;不該篩掉的怎么也篩不掉。
曾經有人強調了科學工作者要安心工作,鑽研學問,迷於專業。陳景潤又被認為是這種所謂資產階級科研路線的“安鑽迷”典型。確實他成天鑽研學問。不關心政治,是的,但也參加了歷次的政治運動。共產黨好,國民黨壞,這個樸素的道理他非常之分明。數學家的邏輯像鋼鐵一樣堅硬;他的立場站得穩。他沒有犯過什麼錯誤。在政治歷史上,陳景潤一身清白。他白得像一隻仙鶴。鶴羽上,污點沾不上去。而鶴頂鮮紅;兩眼也是鮮紅的,這大約是他熬夜熬出來的。他曾下廠勞動,也曾用數學來為生產服務,儘管他是從事於數論這一基礎理論科學的。但不關心政治,最後政治要來關心他。但是,能不能一推就把他推過敵我界線?能不能將他推進“專政隊”里去?儘量擺脫外界的干擾,以專心搞科研又有何罪?
善意的誤會,是容易糾正的。無知的嘲諷,也可以諒解的。批判一個數學家,多少總應該知道一些數學的特點。否則,說出了糊塗話來自己還不知道。陳景潤被批判了。他被帽子工廠看中了:修正主義苗子,安鑽迷,白專道路典型,白痴,寄生蟲,剝削者。就有這樣的糊塗話:這個人,研究(1+2)的問題。他搞的是一套人們莫名其妙的數學。讓哥德巴赫猜想見鬼去吧!(1+2)有什麼了不起!1+2不等於3嗎?此人混進數學研究所,領了國家的工資,吃了人民的小米,研究什麼1+2=3,什麼玩藝兒?!偽科學!
說這話的人才像白痴呢!
並不懂得數學的人說出這樣的話,那是可以理解的,可是說這些話的人中間,有的明明是懂得數學,而且是知道哥德巴赫猜想這道世界名題的。那么,這就是惡意的誹謗了。權力使人昏迷了;派性叫人發狂了。
理解一個人是很難的。理解一個數學家也不容易。至於理解一個惡意的誹謗者卻很容易,並不困難。只是陳景潤發病了,他病重了。鋼鐵工廠也來光顧了。陳景潤聽著那些厭惡與侮辱他的,唾沫橫飛的,聽不清楚的言語。他茫然直視。他兩眼發黑,看不到什麼了。他像發寒熱一樣顫抖。一陣陣刺痛的懷疑在他腦中旋轉。血痕印上他慘白的面頰。一塊青一塊黑,一種猝發的疾病臨到他的身上。他眩暈,他休克,一個倒栽蔥,從上空摔到地上。“資產階級認為最革命的事件,實際上卻是最反革命的事件。果實落到了資產階級腳下,但它不是從生命樹上落下來,而是從知善惡樹上落下來的。”(馬克思:《霧月十八日》——二)
七
颱風的中心是安靜的。
過了一段時間,不知是多少天多少月?“專政隊”的生活反倒平靜無事了。而旋卷在颱風裡面的人卻焦灼著、奔忙著、謀劃著名、叫嚷著、戰鬥著,不吃不睡,狂熱地保護自己的派性,瘋狂地攻擊對方的派性。他們忙著打派仗,竟沒有時間來顧及他們的那些“專政”對象了。這時有一個老紅軍,主動出來擔當了看守他們的任務。實際是一個熱情的支持者,他保護了科學家們,還允許他們偷偷地看書。
待到工人宣傳隊進駐科學院各所以後,陳景潤被釋放了,可以回到他自己的小房間裡去住了。不但可以讀書,也可以運算了。但是總有一些人不肯放過了他。每天,他們來敲敲門,來查查戶口,弄得他心驚肉跳,不得安身。有一次,帶來了克絲鉗子;存心不讓他看書,把他房間裡的電燈鉸了下來,拿走了。還不夠,把開關拉線也剪斷了。
於是黑暗降臨他的心房。
但是他還得在黑暗中活下去呵,他買了一隻煤油燈。又深怕煤油燈光外露,就在窗子上糊了報紙。他掙扎著生活,簡直不成樣子。對搞工作的,扣他們工資;搞打砸搶的,反而有補貼。過了這樣久心驚肉跳的生活,動輒得咎,他的神經極度衰弱了。工作不能做,書又不敢讀。工宣隊來問:為什麼要搞1+1=2以及1+2=3呢?他哭笑不得,張皇失措了。他語無倫次,不知道怎樣對師傅們解說才能解釋清楚。工人同志覺得這個人奇怪。但是他還是給他們解釋清楚了。這(1+1)(1+2)只是一個通俗化的說法,並不是日常所說的1+1和1+2。好像我們說一個人是紙老虎,並不就是老虎了。弄清楚了之後,工人師傅也生氣地說:那些人為什麼要胡說?他們也熱情支持他,並保護他了。
“九一三”事件之後,大野心家已經演完了他的角色,下場遺臭萬年去了。陳景潤聽到這個傳達之後,吃驚得說不出話來。這時,情況漸漸地好轉。可是他卻越加成了驚弓之鳥。激烈的階級鬥爭使他無所適從。唯一的心靈安慰從來就是數學。他只好到數論的大高原上去隱居起來。現在也允許他這樣做,繼續向數學求愛了。圖書館的研究員出身的管理員也是他的熱情支持者。事實證明,熱情的支持者,人數眾多。他們對他好,保護他。他被藏在一個小書庫的深深的角落裡看書。由於這些研究員的堅持,數學研究所繼續訂購世界各國的文獻資料。這樣幾年,也沒有中斷過;這是有功勞的。他閱讀,他演算,他思考。情緒逐步地振作起來。但是健康狀況卻越加嚴重了。他從不說;他也不顧。他又投身於工作。白天在圖書館的小書庫一角,夜晚在煤油燈底下,他又在攀登,攀登,攀登了,他要找尋一條一步也不錯的最近的登山之途,又是最好走的路程。
敬愛的周總理,一直關心著科學院的工作,騰出手來排除幫派的干擾。半個月之前,有一位周大姐被任命為數學研究所的政治部主任。由解析數論、化數數論等學科組成的五學科室恢復了上下班的制度。還任命了支部書記,是個工農出身的基層老幹部,當過第二野戰軍政治部的政治幹事。
到職以後,書記就到處找陳景潤。周大姐已經把她所了解的情況告訴了他。但他找不到陳景潤。他不在辦公室里,辦公室里還沒有他的辦公桌。他已經被人忘記掉了。可是他們會了面,會面在圖書館小書庫的一個安靜的角上。
剛過國慶,十月的陽光普照。書記還只穿一件襯衣,衰弱的陳景潤已經穿上棉襖。
“李書記,謝謝你,”陳景潤說,他見人就謝。“很高興,”他說了一連串的很高興。他一見面就感到李書記可親。“很高興,李書記,我很高興,李書記,很高興。”
李書記問他,“下班以後,下午五點半好不好?我到你屋去看看你。”
陳景潤想了一想就答應了,“好,那好,那我下午就在樓門口等你,要不你會找不到的。”
“不,你不要等我,”李書記說。“怎么會找不到呢?找得到的。完全用不到等的。”
但是陳景潤固執地說,“我要等你,我在宿舍大樓門口等你。不然你找不到。你找不到我就不好了。”
果然下午他是在宿舍大樓門口等著的。他把李書記等到了,帶著他上了三樓,請進了一個小房間。小小房間,只有六平方米大小。這房間還缺了一隻角。原來下面二樓是個鍋爐房。長方形的大煙囪從他的三樓房間中通過,切去了房間的六分之一。房間是刀把形的。顯然它的主人剛剛打掃過清理過這間房了。但還是不太整潔。窗子三槅,糊了報紙,糊得很嚴實。儘管秋天的陽光非常明麗,屋內光線暗淡得很。紗窗之上,是羊尾巴似的捲起來的窗紗。窗上纏著繩子,關不嚴。蟲子可以飛出飛進。李書記沒有想到他住處這樣不好。他坐到床上,說:“你床上還挺乾淨!”
“新買了床單。剛買來的床單,”陳景潤說。“你要來看看我。我特地去買了床單,”指著光亮雪白的蘭格子花紋的床單。“謝謝你,李書記,我很高興,很久很久了,沒有人來看望……看望過我了。”他說,聲音顫抖起來。這裡面帶著淚音。霎時間李書記感到他被這聲音震撼起來。滿腔怒火燃燒。這個黨的工作者從來沒有這樣激動過。不象話;太不象話了!這房間裡還沒有桌子。六平方米的小屋,竟然空如曠野。一捆捆的稿紙從屋角兩隻麻袋中探頭探腦地露出臉來。只有四葉暖氣片的暖氣上放著一隻飯盒。一堆藥瓶,兩隻暖瓶。連一隻矮凳子也沒有。怎么還有一隻煤油燈?他發現了,原來房間裡沒有電燈。“怎么?”他問,“沒有電燈?”
“不要燈,”他回答,“要燈不好。要燈麻煩。這棟大樓里,用電爐的人家很多。電線負荷太重,常常要檢查線路,一家家的都要查到。但是他們從來不查我。我沒有燈,也沒有電線。要燈不好,要燈添麻煩了,”說著他悽然一笑。
“可是你要做工作。沒有燈,你怎么做工作?說是你工作得很好。”
“哪裡哪裡。我就在煤油燈下工作;那,一樣工作。”
“桌子呢?你怎么沒有桌子?”
陳景潤隨手把新床單連同褥子一起翻了起來,露出了床板,指著說,“這不是?這樣也就可以工作了。”
李書記皺起了眉頭,咬牙切齒了。他心中想著:“唔,竟有這樣的事!在中關村,在科學院呢。糟蹋人呵,糟蹋科學!被糟蹋成了這個狀態。”一邊這樣想,一邊又指著羊尾巴似的窗紗問道,“你不用蚊帳?不怕蚊蟲咬?”
“晚上不開燈,蚊子不會進來。夏天我儘量不在房間裡耽著。現在蚊子少了。”
“給你燈,”李書記加重了語氣說,“接上線,再給你桌子,書架,好不好?”
“不好不好,不要不要,那不好,我不要,不……不……”
李書記回到機關。他找到了比他自己早到了才一個星期的辦公室老張主任。主任聽他說話後,認為這一切不可能,“瞎說!怎么會沒有燈呢?”李書記給他描繪了小房間的寂寞風光。那些身上長刺頭上長角的人把科學院攪得這樣!立刻找來了電工。電工馬上去裝燈。燈裝上了,開關線也接上了,一拉,燈亮了。陳景潤已經俯伏在一張桌子之上,寫起來了。
光明回到陳景潤的心房。
八
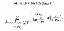
(他寫著,寫著)……
由(22)式及上式,當X很大時,有
哥德巴赫猜想[徐遲的報告文學作品] |
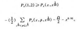
由引理1,本引理得證 引理8.1,設X是大偶數,則有
哥德巴赫猜想[徐遲的報告文學作品] |
[引理8的一句話,讀作“設X.是一個大偶數,則有奧米茄小於或等於3點9404xCx,除以括弧中的羅格X的平方!”請注意,這一公式是解決哥德巴赫猜想的(1+2)證明的主要關鍵。]
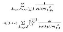
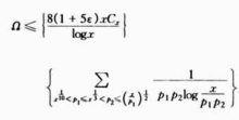
證:當X很大時,由引理5到引理7,我們有
(23) 哥德巴赫猜想[徐遲的報告文學作品] |
又有:
哥德巴赫猜想[徐遲的報告文學作品] |
何等動人的一頁又一頁篇頁!這些是人類思維的花朵。這些是空谷幽蘭、高寒杜鵑、老林中的人參、冰山上的雪蓮、絕頂上的靈芝、抽象思維的牡丹。這些數學的公式也是一種世界語言。學會這種語言就懂得它了。這裡面貫穿著最嚴密的邏輯和自然辯證法。它是在探索太陽系、銀河系、河外系和宇宙的秘密,原子、電子、粒子、層子的奧妙中產生的。但是能升登到這樣高深的數學領域去的人,一般地說,並不很多。
且讓我們這樣稍稍窺視一下彼岸彼土。那裡似有美麗多姿的白鶴在飛翔舞蹈。你看那玉羽雪白,雪白得不沾一點塵土;而鶴頂鮮紅,而且鶴眼也是鮮紅的。它躑躅徘徊,一飛千里。還有樂園鳥飛翔,有鸞鳳和鳴,姣妙、娟麗,變態無窮。在深邃的數學領域裡,既散魂而盪目,迷不知其所之。
閔嗣鶴老師卻能夠品味它,欣賞它,觀察它的崇高瑰麗。他當時說過,“陳景潤的工作,最近好極了。他已經把哥德巴赫猜想的那篇論文寫出來了。我已經看到了,寫得極好。”
“你的論文寫出了,”一位軍代表問陳景潤,“為什麼不拿出來?”陳景潤回答他:“正做正做,沒有做完。”軍代表說,“希望你早日完成。”
室里的領導老田對李書記說,“可以動員動員他,讓他拿出來。但也不急。他不拿出來,自然有他的道理的。”
李書記問了問他,陳景潤說,“有人還在罵我,說我不交論文是因為現在沒有稿費了。說是恢復了稿費我就會交了。”李書記追了他一句,“誰這樣說你?”他回答,“你不要問了。謝謝你,你可別去問呵!問了我更麻煩了。沒有稿費,謝天謝地。我不要稿費。我壓根兒也沒有想到它。那個稿子我還在做。我確實沒有做完。 ”
九
“我確實還沒有做完。我的論文是做完了,又是沒有做完的。自從我到數學研究所以來,在嚴師、名家和組織的培養、教育、薰陶下,我是一個勁兒鑽研。怎么還能幹別的事?不這樣怎么對得起黨?在世界數學的數論方面三十多道難題中,我攻了了六七道難題,推進了它們的解決。這是我的必不可少的鍛鍊和必不可少的準備。然後我才能向哥德巴赫猜想挺進。為此,我已經耗盡了我的心血。
“一九六五年,我初步達到了(1+2)。但是我的解答太複雜了,寫了兩百多頁的稿子。數學論文的要求是(一)正確性,(二)簡潔性。譬如從北京城裡走到頤和園那樣,可有許多條路,要選擇一條最準確無錯誤,又最短最好的道路。我那個長篇論文是沒有錯誤,但走了遠路,繞了點兒道,長達兩百多頁,也還沒有發表。國外沒有承認它,也沒有否認它,因為它沒有發表。從那年到今天已經過去了七年。
“這個事是比較困難的,也是難於被人理解的。從學習外語來說,我是在中學裡就學了英語,在大學裡學的俄語;在所里又自學了德語和法語。我勉強可以閱讀而且寫寫了。又自學了日語、義大利語和西班牙語,到了勉強可以閱讀外國資料和文獻的程度。因而在借鑑國外的經驗和成就時,可以從原文閱讀,用不到等人翻譯出來了再讀。這是必不可少的一個條件。我必須檢閱外國資料的儘可能的全部總和,消化前人智慧的儘可能不缺的全部的果實。而後我才能在這樣的基礎上解答(1+2)這樣的命題。
“我的成果又必須表現在這樣的一篇論文中,雖然是專業性質的論文,文字是比較簡單的;儘管是相對地嚴密的,又必須是絕對地精確的。若干地方就是屬於哲學領域的了。所以我考慮了又考慮,計算了又計算,核對了又核對,改了又改,改個沒完。我不記得我究竟改了多少遍?科學的態度應當是最嚴格的,必須是最嚴格的。
“我知道我的病早已嚴重起來。我是病入膏肓了。細菌在吞噬我的肺腑內臟。我的心力已到了衰竭的地步。我的身體確實是支持不了啦!唯獨我的腦細胞是異常的活躍,所以我的工作停不下來。我不能停止。……”
十
一九七三年二月,春節來臨。
早一天,數學研究所的周大姐說,佳節前後,要特別關心一下病號。她說:“那些老八路的作風,那些過去部隊里形成的作風,我們千萬不能丟掉了。尤其像陳景潤那樣的同志,要關心他,他很頑強。他病得起不來了,但又沒有起不來的時候。在任何情況下掙紮起來,他堅持工作。他為什麼?他為誰?為他自己嗎?為他自己,早就不幹了。不是,他是為人民,為黨工作。我們要去慰問他。也要慰問單位里所有的病人。”
其實,外表看來魁梧,說話聲音洪亮的周大姐自己也是一個力疾從公,患有心臟病,應當受到慰問的人。
大年初一早晨,周大姐和幾個書記,包括李書記,一行數人,把頭天買好了的蘋果、梨子裝進一些塑膠網線袋子。若干袋子大家分頭提了,然後舉步出發,慰問病人。他們先到陳景潤那裡。他住得最近。
陳景潤正從樓梯上走下來。大家招呼他。他很驚訝,來了這許多的領導同志。周大姐說,“過春節,我們看你來了,你的病好點了吧。”李書記也說,“新年好,給你賀新年。”陳景潤說,“噢,今天是新年了呵?我很高興,謝謝你們,謝謝你們。新年好,你們好。”李書記說,“到你屋裡去坐坐吧。”“不,不行,”陳景潤說,“你沒有先給我打招呼,不能進去。”周大姐沉吟了一下,說“好吧,我們就不去了。李書記,你給他送水果上樓吧。我們還上別家去,你回頭再趕上我們好了。”李書記說,“好。”周大姐和陳景潤握手,並祝他早日恢復健康,然後轉過身走了。李書記把水果袋遞給陳景潤說:“春節了。這是組織上送給你的。希望你在新的一年裡,多給黨做點工作。”“不要水果,不要水果,”陳景潤推卻了,“我很好,我沒有病,沒有什麼……這點點病,呃……呃,謝謝你,我很高興。”說著說著他收下了水果。李書記說,“上你屋聊聊?”他又張手攔住,“不,不要進屋了,你沒有給我打招呼。”
李書記說,“那好,我不上去了。你有什麼事,隨時告訴我。我也得去追上他們,到別家去看望看望。”於是握手作別,他返身走。剛走兩步,後面又叫,“李書記,李書記!”陳景潤又追過來,把水果袋子給了李書記,並說,“給你家的小孩吃吧。我吃不了這多。我是不吃水果的。”李書記說,“這是組織上給你的,不過表示表示,一點點的心意罷了。要你好好保養身體,可以更好地工作。你收下吧,吃不下,你慢慢的吃吧。”
他默然收下了。他噙著淚送李書記到大樓門口。李書記揚手走了,趕上了周大姐他們的行列。陳景潤望著李書記的背影,凝望著周大姐一行人的背影模糊地消失在中關村路林蔭道旁的切面鋪子後面了。突然間,他激動萬分。他回上樓,見人就講,並且沒有人他也講。“從來所領導沒有把我當作病號對待,這是頭一次;從來沒有人帶了東西來看望我的病,這是頭一次。”他舉起了塑膠袋,端詳它,說,“這是水果,我吃到了水果,這是頭一次。”
他飛快地進了小屋。一下子把自己反鎖在裡面了。
他沒有再出來。直到春節過去了。頭一天上班,陳景潤把一疊手稿交給了李書記,說:“這是我的論文。我把它交給黨。”
李書記看看他,又輕聲問他:“是那個(1+2)?”
“是的,閔老師已看過,不會有錯誤的,”陳景潤說。
數學研究所立即組織了一次小型的學術報告會。十幾位專家,聽了陳景潤的報告,一致給以高度評價。然後,數學研究所業務處將他的論文上報院部。
十一
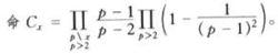
顯見,我們有:
哥德巴赫猜想[徐遲的報告文學作品] |
由(28)、引理8和引理9,即得到定理1
哥德巴赫猜想[徐遲的報告文學作品] |
完全類似的方法可得到定理2的證明。
以上就是陳景潤的著名論文:《大偶數表為一個素數及一個不超過二個素數的乘積之和》的“(三)結果”。作為結果的定理就是那個“陳氏定理”。
四月中的一天,中國科學院在三里河工人俱樂部召開全院黨員幹部大會。武衡同志在會上作報告。他說到數學研究所一位中級的研究員作出了世界水平的重大成果。當時沒說人名,聽到了,還不知說誰?李書記在座中,捅了一下旁邊的人。“乾什麼?”那人說。他問,“你聽到沒有?”“怎么啦?”那人又說。“這活兒是陳景潤做出來的呵!”“噢?還這么重要?”那人說。“這是世界名題。真不簡單!”
第二天,新華社記者來訪。他見到了陳景潤,談了話,進他房間看了看。回去就寫出一篇報導,立即在內部刊物上發表。其中,說到了陳景潤的經歷;他刻苦鑽研的精神;重大的科研成果以及他現在還住在一間煙燻火烤的小房間裡。生活條件很差!疾病嚴重!!生命垂危!!!
偉大領袖和導師毛主席看到了這篇報導,立即作出了指示。
當天深夜,武衡同志走進了陳景潤的小房間。
他立即被送進醫院,由首都醫院內科主任和衛生部一位副部長給他作了全面的身體檢查。他患有多種疾病。他們要他立即住院療養,他不肯。於是,向他傳達了毛主席的指示。
他一共住院一年半。
在住院期間,敬愛的周總理曾親自和華國鋒副主席(當時是副總理)安排了陳景潤的全國人民代表席位。在第四屆全國人民代表大會上,陳景潤見到了周總理,並和總理在一個小組裡開會。人代會期間,當他得知總理的病時,當場哭了起來,幾夜睡不著覺。大會後,他仍回醫院治療。
當他出院的時候,醫院的診斷書上寫著:
“經住院治療後,一般情況較好。精神改善;體溫正常。體重增加十斤;飲食睡眠好轉。腹痛腹脹消失;二肺未見活動性病灶。心電圖正常;腦電圖正常。肝腎功能正常;血沉及血象正常。”
早在他的論文發表時,西方記者迅即獲悉,電訊傳遍全球。國際上的反響非常強烈。英國數學家哈勃斯丹和西德數學家李希特的著作《篩法》正在印刷所校印。他們見到了陳景潤的論文立即要求暫不付印,並在這部書里加添了一章,第十一章:“陳氏定理”。他們譽之為篩法的“光輝的頂點”。在國外的數學出版物上,諸如“傑出的成就”、“輝煌的定理”,等等,不勝枚舉。一個英國數學家給他的信里還說,“你移動了群山!”
真是愚公一般的精神呵!
或問:這個陳氏定理有什麼用處呢?它在哪些範圍內有用呢?
大凡科學成就有這樣兩種:一種是經濟價值明顯,可以用多少萬,多少億人民幣來精確地計算出價值來的,叫做“有價之寶”;另一種成就是在巨觀世界、微觀世界、宇宙天體、基本粒子、經濟建設、國防科研、自然科學、辯證唯物主義哲學等等等等之中有這種那種作用,其經濟價值無從估計,無法估計,沒有數字可能計算的,叫做“無價之寶”,例如,這個陳氏定理就是。
現在,離開皇冠上的明珠,只有一步之遙了。
但這是最難的一步。且看明珠歸於誰之手吧!
十二
陳景潤曾經是一個傳奇式的人物。關於他,傳說紛紜,莫衷一是。有善意的誤解、無知的嘲諷,惡意的誹謗、熱情的支持,都可以使得這個人扭曲、變形、砸爛或擴張放大。理解人不容易;理解這個數學家更難。他特殊敏感、過於早熟、極為神經質、思想高度集中。外來和自我的肉體與精神的折磨和迫害使得他試圖逃出於世界之外。他相當成功地逃避在純數學之中,但還是藏匿不了。純數學畢竟是非常現實的材料的反映。“這些材料以極度抽象的形式出現,這只能在表面上掩蓋它起源於外部世界的事實。”(恩格斯)陳景潤通過數學的道路,認識了客觀世界的必然規律。他在誠實的數學探索中,逐步地接受了辯證唯物論的世界觀。沒有一定的世界觀轉變,沒有科學院這樣的集體和黨的關懷,他不可能對哥德巴赫猜想作出這輝煌貢獻。被冷酷地逐出世界的人,被熱烈的生命召喚了回來。幫派體系打擊迫害,更顯出黨的恩惠溫暖。衝擊對於他好像是壞事;也是好事,他得到了鍛鍊而成長了。病人恢復了健康,畸零人成了正常人。正直的人已成為政治的人。多餘的人,為國增了光。他進步顯著,他堅定抗擊了“四人幫”對他的威脅與利誘。無所不用其極地威脅他誣陷鄧副主席,他不屈!許以高官厚祿,利誘他向人妖效忠,他不動!真正不簡單!數學家的邏輯像鋼鐵一樣堅硬!今後,可以信得過,他不會放鬆了自己世界觀的繼續改造。他生下來的時候,並沒有玫瑰花,他反而取得成績。而現在呢?應有所警惕了呢,當美麗的玫瑰花朵微笑時。
一九七七年年九月於中關村
發表背景
20世紀70年代末,雖然十年浩劫已經結束,但人們的思想還受到“兩個凡是”的束縛。黨中央和鄧小平同志花了很大氣力撥亂反正,正確評價知識分子的地位和重要作用。在全國科學大會即將召開之際,動員和鼓舞科學家投入到四個現代化的建設中來,是當時的一個重要熱點。
科學的春天即將到來,編輯部同志們深受鼓舞,同時也想到自己應負的責任和使命:《人民文學》如能在此時組織一篇反映科學領域的報告文學,讀者一定愛看,同時也可藉此推動思想解放的大潮。然而,寫誰好呢?又請誰來寫呢?這兩個問題在編輯部展開了討論。
突然間,我們想起了社會上流傳的一個民間故事:有個外國代表團來華訪問,提出要見中國的大數學家陳景潤教授。我國有關方面千方百計尋找,終於在中科院數學所發現了這位數學家,然而同時,也傳出他的許多不食人間煙火的“笑話”,人們說他是一個“科學怪人”。
編輯部同志們商議之後一致認為,就寫陳景潤!至於作者,大家都不約而同地想到了著名作家徐遲。他雖是一位詩人,但寫過不少通訊特寫,特別是他比較熟悉知識分子,估計能寫得很好。
幾天后,徐遲風塵僕僕地從揚子江邊帶著滾滾的濤聲趕來了。我告訴他,已經得到中科院領導方毅同志的支持,他還說他也得到一位老同志的支持。這位老同志是誰呢?我事後才知道,原來是徐遲的姐夫,中顧委常委、中國人民解放軍副總參謀長伍修權將軍。
一個艷陽高照的秋日裡,我陪同徐遲到了北京西郊中關村的中科院數學研究所。接待我們的是數學所黨支部書記李尚傑同志。這是一位深受科學家愛戴的轉業軍人幹部,陳景潤對他更是百倍信賴,什麼心裡話都對他述說,李尚傑對陳景潤也是倍加愛護和支持。這是很難得的。
老李動情地向我們講述著“小陳”鑽研科學的故事。不一會兒,進來一個個頭兒不高、面頰紅撲撲、身著一套舊藍制服的年輕人。他就是陳景潤,一個十分樸素的數學家。
李尚傑向他說明我們的身份和來意後,我又特意向他介紹說:我們特約徐遲同志來採訪你如何攻克“哥德巴赫猜想”難關,登攀科學高峰事跡的報告文學,準備在《人民文學》上發表。他緊緊握住徐遲的手說:“徐遲,噢,詩人,我中學時讀過你的詩。哎呀,徐老,你可別寫我,我沒有什麼好寫的。你寫寫工農兵吧!寫寫老前輩科學家吧!”
徐遲笑了,告訴他說:“我來看看你,不是寫你,我是來寫科學界的,來寫四個現代化的,你放心好了。”小陳笑了,天真地說:“那好,那好,我一定給你提供材料……”
當晚,我安排徐遲住進中科院招待所後,立即返回城裡,直奔東總布胡同46號張光年同志家,他當時是《人民文學》主編。我向他述說了當日我們的感受,張光年饒有興味地聽著,還不時提問。後來他果斷拍板,促成了《哥德巴赫猜想》的問世。
為了寫好這篇報告文學,徐遲進行了深入採訪和大量調查研究。經過艱苦的梳理、思索和提煉,反覆斟酌,幾番修改,報告文學《哥德巴赫猜想》終於完成。《人民文學》以醒目的標題,在頭條位置發表。
相關評論
哥德巴赫猜想》一經問世,立即引起了極其熱烈的反響!各地報紙、廣播電台紛紛全文轉載和連續廣播。包括黨政軍領導幹部在內的全國各界讀者,喜歡文學的和平時不太關心文學的,都找來一遍又一遍閱讀,有的人甚至能夠背誦出來。一時間,《哥德巴赫猜想》飛揚神州大地,陳景潤幾乎家喻戶曉,天天都有大量讀者來信飛往中科院數學所;同樣,由於《人民日報》、《光明日報》的宣傳擴大了《哥德巴赫猜想》的影響,徐遲也每天收到大量來自全國各地的讀者來信,他非常激動,後來曾說:“應《人民文學》的召喚,寫了一篇《哥德巴赫猜想》,這時我似乎已從長久以來的冬蟄中甦醒過來。”
是啊,由於他的甦醒,也使許多讀者甦醒過來,這正是《哥德巴赫猜想》所產生的不可估量的社會效應和歷史價值。(本報記者韓小蕙採訪整理)
![哥德巴赫猜想[徐遲的報告文學作品] 哥德巴赫猜想[徐遲的報告文學作品]](/img/e/a4d/nBnauM3X4MjMxYTMzkTOxIDN0UTMyITNykTO0EDMwAjMwUzL5kzLxEzLt92YucmbvRWdo5Cd0FmL0E2LvoDc0RHa.jpg)
哥德巴赫猜想[徐遲的報告文學作品]
哥德巴赫猜想[徐遲的報告文學作品]
哥德巴赫猜想[徐遲的報告文學作品]
哥德巴赫猜想[徐遲的報告文學作品]
哥德巴赫猜想[徐遲的報告文學作品]
哥德巴赫猜想[徐遲的報告文學作品]
哥德巴赫猜想[徐遲的報告文學作品] 